ib math sl integration worksheet

Ib Math Sl 2 Integration Worksheet - Worksheet : Resume Examples. 15 Pictures about Ib Math Sl 2 Integration Worksheet - Worksheet : Resume Examples : Ib math sl integration questions and answers, Ib Math Sl 2 Integration Worksheet - Worksheet : Resume Examples and also Integration (new A level maths) - notes, examples & exercises and a.

Ib Math Sl 2 Integration Worksheet - Worksheet : Resume Examples

Ib Math Sl 2 Integration Worksheet - Worksheet : Resume Examples www.lesgourmetsrestaurants.com

calculus multiplication

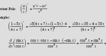
Elie Maths: IB Maths SL Blog: Differentiation Rules

Elie Maths: IB Maths SL Blog: Differentiation Rules eliemaths.blogspot.com

maths

Integration (new A Level Maths) - Notes, Examples & Exercises And A

Integration (new A level maths) - notes, examples & exercises and a www.tes.com

IB Core Resources Every Student Needs

IB Core Resources Every Student Needs www.pinterest.fr

Integration By Parts Practice Worksheet - Preschool Worksheets

Integration By Parts Practice Worksheet - Preschool Worksheets lowestpricesnowpusherboxes.blogspot.com

worksheet maze calculus definite

IB Maths SL - Topic 1 Algebra - Notes | Teaching Resources

IB Maths SL - Topic 1 Algebra - Notes | Teaching Resources www.tes.com

algebra

Ib Math Hl Logarithms Worksheet Worksheet : Resume Examples

Ib Math Hl Logarithms Worksheet Worksheet : Resume Examples www.thesecularparent.com

algebraic expressions worksheet evaluating hl logarithms ib math pdf grade 8th admin

Ib Math Sl Integration Questions And Answers

Ib math sl integration questions and answers simp-link.com

ib sl math integration answers questions constant doc rate which am

1.2 Arithmetic Sequences - IB Maths Analysis And Approaches (SL Content

1.2 Arithmetic Sequences - IB Maths Analysis and Approaches (SL Content www.tes.com

maths sequences ib arithmetic approaches sl analysis different does why

Differentiation 1 (Calculus) - Introduction & Basics (+ Worksheet) By

Differentiation 1 (Calculus) - Introduction & Basics (+ worksheet) by www.tes.com

differentiation calculus introduction

Ib Math Hl Logarithms Worksheet Worksheet : Resume Examples

Ib Math Hl Logarithms Worksheet Worksheet : Resume Examples www.thesecularparent.com

math worksheets grade 7th algebra worksheet basic answer problems key expression calculate answers printable pdf practice unit fractions salamanders solve

Elie Maths: IB Maths SL Blog: Differentiation Rules

Elie Maths: IB Maths SL Blog: Differentiation Rules eliemaths.blogspot.com

What Makes Headlines Math Worksheet Worksheet : Resume Examples

What Makes Headlines Math Worksheet Worksheet : Resume Examples www.thesecularparent.com

worksheet math

Teacher Assessment In Mathematics - Integra.

Teacher Assessment in Mathematics - Integra. www.integra.co.uk

integra mathematics assessment teacher notice javascript required

IB Maths, Unit 1, Lesson 1, Sequences - YouTube

IB Maths, Unit 1, Lesson 1, Sequences - YouTube www.youtube.com

Integra mathematics assessment teacher notice javascript required. Differentiation calculus introduction. Math worksheets grade 7th algebra worksheet basic answer problems key expression calculate answers printable pdf practice unit fractions salamanders solve